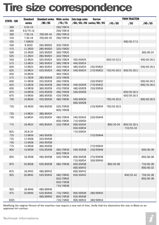
Technical Information
To help you in situations like these, we now have extended our technical service to you with this section of the most useful online tools. Look through the menu and feel free to try them all out!
Product brochures

Product brochures
Browse and download all our agricultural and forestry brochures for more information on our tires and complete wheel solutions.
Technical Manual
Find all the technical information about Trelleborg range as well as useful advices to get the most out of your tires.

Rims
Dual Monting System
Practical Advice
Twin Forestry
Explore our new generation of Twin Forestry Tyres with improved resistance properties for tough, non-stop performance and all-terrain traction

General Information Pressure
General information about inflation pressure, fitting and handling of forest tires
Twin Forestry Information Pressure
Twin Forestry Information Pressure recommendation

Technical movies
Want to get in touch? Drop us a line and we’ll get back to you as soon as possible.














